人造板是室内甲醛的主要来源之一,建筑装修材料人造板甲醛具有长时间的释放过程。我们针对不同人造板分别进行了一定时间的预处理,来观察其对结果的影响,并进行了试验,下面是主要试验结果,供检测参考 。
试验设备:环仪仪器 甲醛平衡预处理测试箱
试验样品:
同批次胶合板和饰面板尺寸为0.5m*0.5m,各6块,每2块板材为一组,分3组分别进行测试。第一组开始测试后,其余2组进行5d和10d的通风处理,再进行测试。
测试条件:
测试人造板的表面积与环境测试舱容积比为1:1。
环境测试舱温度:23℃±0.5℃;
相对湿度:45%±3%,空气交换率:1次/h;
被测试样表面空气流速0.2m/s;
测定游离甲醛释放量前,环境测试舱内游离甲醛含量本底值不应大于0.01mg/m³。
实验步骤:
(1)首先对环境测试舱进行清洁处理,测得符合规定要求的舱甲醛本底值。对第一组胶合板和饰面板进行测试,直至平衡。其余两组胶合板和饰面板进行通风处理。
(2)在第一组胶合板和饰面板开始测试5d后,对另一个环境测试舱进行清洁处理,测得符合规定要求的舱甲醛本底值。然后将通风5d的第二组胶合板和饰面板放入环境测试舱测试,直至平衡。
(3)在第一组胶合板和饰面板开始测试10d后,同样测得符合规定要求的舱甲醛本底值。然后将通风10d的第三组胶合板和饰面板环境测试舱测试,直至平衡。
检测方法:
a.吸收液原液:称量01.0 g酚试剂,加水溶解,倾于100 mL具塞量筒中,加水至刻度。放冰箱中保存,可稳定3 d。
b.吸收液:量取吸收液原液5 mL,加95 mL水,即为吸收液。采样时,临用现配。
c.1%硫酸铁铵溶液:称量10. g硫酸铁铵用01. mol/L盐酸溶解,并稀释至100 mL。
d.标准曲线:取9支10 mL具塞比色管,用1 mg/L甲醛标准溶液按下表制备标准系列。
e.各管加入0.4 mL1%硫酸铁铵溶液,摇匀。放置15 min。用1 cm比色皿,在波长630 nm下,以水作参比,测定各管溶液的吸光度。
f.甲醛含量为横坐标,吸光度为纵坐标,绘制曲线,计算回归线斜率,以斜率倒数作为样品测定的计算因子 Bg(μg/吸光度)。
g.空白试剂与样品:用5mL未采样的吸收液作试剂空白。
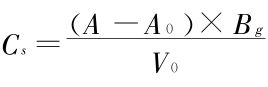
h.采样后,将样品溶液全部转入比色管中,用少量吸收液洗吸收管,合并使总体积为5mL。按绘制标准曲线的操作步骤测定吸光度(AO)、(A);测试舱中甲醛浓度按以下计算:
式(1)中:
Cs为测试舱中甲醛浓度,mg/m³;
A为样品溶液的吸光度;
A0为空白溶液的吸光度;
Bg为计算因子,(μg/吸光度);
V0为换算成标准状态下的采样体积,L。
试验结果:
胶合板平衡试验结果:
饰面板平衡试验结果:

1.根据试验结果可以看出,经过通风处理的人造板甲醛平衡时间,比直接进行测试的人造板甲醛平衡时间不同程度的有所减少。
2.在试验所选用的试样中,甲醛释放量最高的胶合板平衡时间缩短的效果比较明显,而甲醛释放量最低的饰面板由于平衡时间较短,通风时长对平衡时间的影响并不大。
3.从数据结果判定限量 E1 ≤01.2 mg/m³来看,直接测试与通风后测试的数据结果的平均值进位后差别不多。
以上就是对不同板材的平衡试验研究,如有试验疑问,可以咨询环仪仪器相关技术人员。












