在做甲醛释放量试验的过程中,涉及到一个重要的参数,就是承载率。所谓承载率是指家具暴露的表面积和舱内固定的容积之比,单位为m²/m³。承载率越大,相同空间内的空气中的甲醛浓度就越高。
所以,承载率会影响试验结果。下面,我们来看看在做甲醛释放量测试过程中,是怎么计算承载率的。
试验设备:环仪仪器 甲醛挥发量排放舱
计算依据:GB/T 17657
计算公式推导:
在一个密闭气候箱内,若空气置换率为 N(次/h),气候箱的容积为 V(m³),饰面刨花板承载率为 L(m²/m³,甲醛初始浓度为 C0(mg/m³),已知时间为 t(h),饰面刨花板释放甲醛的速率为δ(mg/h·㎡)恒定,求t时刻气候箱内甲醛浓度C(mg/m³)。
按照 GB/T 17657中1 m³气候箱法测试甲醛释放量的规定,其测试的甲醛释放量为单位面积饰面刨花板在单位容积空间中1小时内释放的甲醛质量,其量纲为mg/(h·m²·m³)。为了计算甲醛浓度,假设在一个极小的时间间隔dt,并假设在这段时间内饰面刨花板释放的甲醛总量为L·V·δ·dt(mg)。
由于时间间隔dt 极小,可认为气候箱内的甲醛浓度在这段时间内保持不变。 由于空气置换率N已知,则在时间间隔dt内,进入气候箱的气体体积等于从气候箱出去的气体体积,即V*N*dt。
基于以上假设,可以建立甲醛浓度的动态变化模型。在极小时间间隔dt内,气候箱内甲醛质量见以下公式。
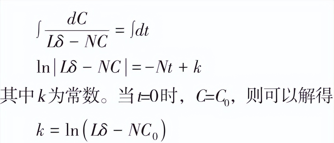
整理后,解关于甲醛浓度C和时间t的一阶常微分方程,根据分离变量法求解,两边同时求不定积分。
代入公式:ln|Lδ-NC|= -Nt+k得
化简得:
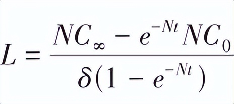
而对于已知空气中甲醛浓度限值C∞,求此时的承载限量L,其公式如下:
式中,
L——饰面刨花板承载限量,m²/m³;
N——空气置换率,次/h;
t——测试时间,此处设定为1 h;
V——室内空间容积,m³;
C∞——达到极限时的室内空气中甲醛浓度,空气极限浓度可根据需要自行设定;
C0——空房间室内空气中甲醛本底浓度,mg/m³;
δ——饰面刨花板甲醛释放率,mg/(m²·h)。
以上就是甲醛挥发量排放舱的承载率计算,如有甲醛释放量试验疑问,可以咨询环仪仪器相关技术人员。














